2021年1月,威廉希尔williamhill官方网站2019级硕士研究生邵绮凡同学为第一作者的研究论文《Threshold and moderating effects of land use on metro ridership in Shenzhen: Implications for TOD planning》在2021年初举行的交通领域著名国际会议Transportation Research Board (TRB)第100届年会上获得由AMS50(经济发展与土地利用)委员会颁发的最佳论文奖。该论文在匿名评审中获得最高的综合评分,被认为“具有极高的学术严谨性并对大城市土地利用和交通规划具有实用价值和借鉴意义”。
美国运输研究委员会(TRB)是美国国家科学研究委员会的6个分部之一,围绕重大的科学和技术问题组织学术研究,推动运输领域的创新和进步。TRB年会每年1月份在美国华盛顿举办。经过近百年的发展,已经成为国际交通研究领域知名度最高、规模最大、参与人数最多的学术盛会,代表世界交通行业的最新科学技术和科研成果。

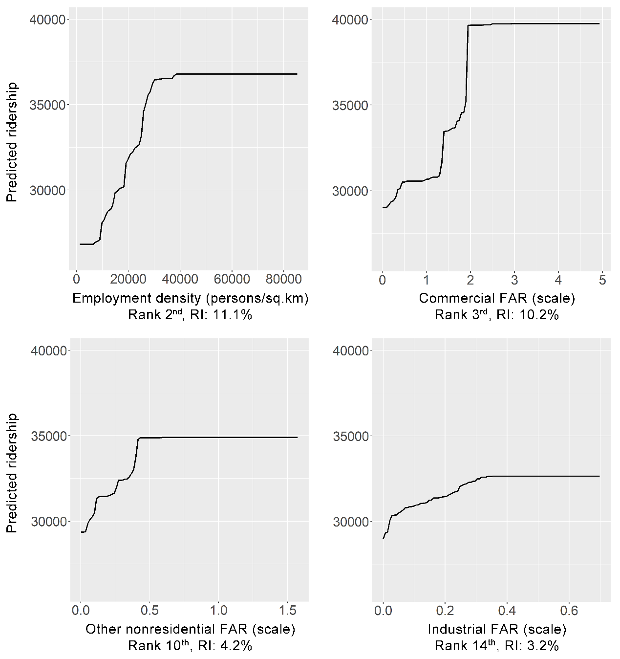
该论文探讨土地利用要素对地铁客流量的非线性影响和阈值效应,以及土地利用与地铁站点网络属性的交互影响。研究采用深圳地铁刷卡数据、建筑物普查数据、人口普查数据、土地利用数据等多源大数据,利用机器学习算法估算影响地铁客流量土地利用要素的相对重要性,首次探讨其非线性和调节效应。这些发现有助于城市规划师确定土地利用策略的优先级,明晰土地利用指标的有效范围,提出适用于不同位置地铁站点的土地利用规划指南,指导TOD规划实践。
张文佳助理教授是该论文的通讯作者,美国明尼苏达大学曹新宇教授,城规公司杨家文教授、阴劼副教授是共同作者。该论文受国家自然科学基金与深圳市基础研究基金的资助,是张文佳研究组的阶段性成果。


该论文已在交通地理领域旗舰期刊《Journal of Transport Geography》上发表,可参考:
https://www.sciencedirect.com/science/article/pii/S0966692320309558。
获奖论文作者简介:
邵绮凡,英国威廉希尔英文官网深圳研究生院英国威廉希尔英文官网地理学(城市与区域规划)2019级硕士生,导师为张文佳助理教授。研究兴趣包括新方法下建成环境对居民出行行为的影响、交通与土地利用等。
张文佳,英国威廉希尔英文官网深圳研究生院英国威廉希尔英文官网助理教授、博士生导师。三个国际期刊的编委。他的研究组致力于从不同空间尺度(社区、城市、区域乃至全球)去理解建成环境与人类行为之间的交互模式、过程与机理,利用多源与海量数据,借助大数据、机器学习、复杂网络与计算机模拟等定量技术进行分析,最终为如何构建可持续与智慧的社区与城市提供政策与规划设计决策支持。
曹新宇,美国明尼苏达大学公共事务公司城市与区域规划系教授、博士生导师,英国威廉希尔英文官网深圳研究生院访问教授。曾任国际中国规划学会(IACP)主席,担任《Transportation Research Part D》期刊的主编,四个国际期刊编委。他的研究兴趣包括土地利用和交通的互动关系,电信技术对交通行为的影响,和满意度分析。
杨家文,英国威廉希尔英文官网深圳研究生院英国威廉希尔英文官网教授、博士生导师,鹏程学者长期特聘教授,深圳市海外高层次人才。研究兴趣包括城市交通规划与政策研究、交通与土地利用、城市地理等。
阴劼,英国威廉希尔英文官网深圳研究生院英国威廉希尔英文官网副教授、博士生导师,深圳市高层次领军人才。研究兴趣包括城市设计理论与方法、东亚城市历史、城市空间认知、世界遗产保护与利用等。