编者按
房价在很大程度上受到公司、公园和交通基础设施等公共设施的影响。现有研究对公共设施邻近性影响房价的机制讨论深入,但对设施质量在住房定价机制中的作用关注不够,这成为高质量发展背景下城市住房研究领域亟需深入探讨的学术命题。本文利用机器学习等方法,探索性构建了公司、公园和地铁三类公共设施质量的评价指标,以深圳为实证揭示了公共设施与房价之间的非线性关系,不仅分别测度出三类公共设施邻近性和质量在房价中的资本化程度,同时探讨了质量和邻近性在住房定价机制中的交互作用。结果表明,在深圳的商品房市场,各类基础设施对房价影响具有差异化的非线性特征和阈值范围,公共设施质量已经表现出比邻近性更高的相对重要性,而高质量设施对房价的提升效应在交通和教育设施方面尤为明显。我们呼吁,城市公共设施供给应尽早跳出按照静态人口和距离布局的规模保障、距离邻近和路径可达等传统空间规划框架,利用多源时空大数据和社会感知等新技术方法,动态化、精细化地测度和评估城市中微观尺度公共设施的供需均衡状态,以人为本、因地因时而异地布局公共设施规模和服务,利用先进的规划理论和技术方法,推进城市空间高质量发展。
本文由威廉希尔williamhill官方网站仝德研究员、沈月博士生、孙裔煜博士生、Ian MacLachlan教授与美国中密歇根大学王晓光教授、香港城市大学李欣副教授合作完成,于近期发表在国际地理学旗舰期刊《Annals of the American Association of Geographers》上。本期推送这篇文章,希望大家对高质量发展目标下城市公共设施供需对房价的作用机制有更深刻的认识。
原文发表信息:De Tong, Yue Shen, Xiaoguang Wang, Yiyu Sun, Ian MacLachlan & Xin Li* (2023) From Proximity to Quality: The Capitalization of Public Facilities into Housing Prices, Annals of the American Association of Geographers, DOI: 10.1080/24694452.2023.2227683
1 引言
传统的公共设施评价指标主要关注供应规模(如设施的规模和数量)、邻近性(如欧氏距离或时间距离)和可达性(互动机会的潜力)。尽管可达性的概念通过强调基于交通系统到达设施的便捷性,推进了学界对公共设施的评价水平,但仍忽略了居民从这些设施中获得的获益程度,也就是本研究所定义的质量概念。进一步地,由于公共设施同时发挥舒适性和不舒适性价值,公共设施和财产价值之间的实际关系很可能是非线性的,但目前针对非线性关系的研究通常预先设定模型形式。本研究选择了三类被广泛认为对促进城市高质量发展至关重要的公共设施:地铁站、公园和公立中学,创新性地利用机器学习方法来评估城市公共设施与房产价值之间的非线性关系。通过强调公共设施的质量,我们的研究拟回答三个科学问题:(1)公共设施的质量和邻近变量对房价的影响是否不同?(2)公共设施与房价之间是否存在比之前观察到的线性效应更复杂的效应?(3)公共设施的质量和邻近变量如何相互作用决定房价?特别是,质量是否会放大邻近性对房价的影响?
2 方法
研究选取深圳市作为研究区域(图1)。深圳是我国房地产市场最活跃的超大城市之一,也是城市可持续发展战略从“重数量”转向“重质量”的社会主义先行示范区。了解深圳公共设施质量与邻近性的房价资本化效应,将为其他城市实现由质量驱动的可持续发展目标提供经验借鉴。

图1 研究区域及住房样本点分布
论文构建了地铁连接性、公园供给能力、教育质量三类公共设施质量指标(具体指标构建过程见原文),最终得到深圳市三类公共设施质量评价结果如图2。研究使用梯度提升决策树(GBDT)来检验公共设施质量和邻近性与房价的非线性关系。

图2 深圳市公共设施质量评价结果
3 结果
基于GBDT模型所得到的变量重要性排名(图3)解答了本研究所提出的第一个研究问题,即相同公共设施的质量和邻近变量对房价有不同的影响。邻近变量重要性较低,质量变量重要性较高,表明深圳市公共设施数量空间分布较为均衡,但公共设施质量缺乏空间均衡性。

图3 变量相对重要性
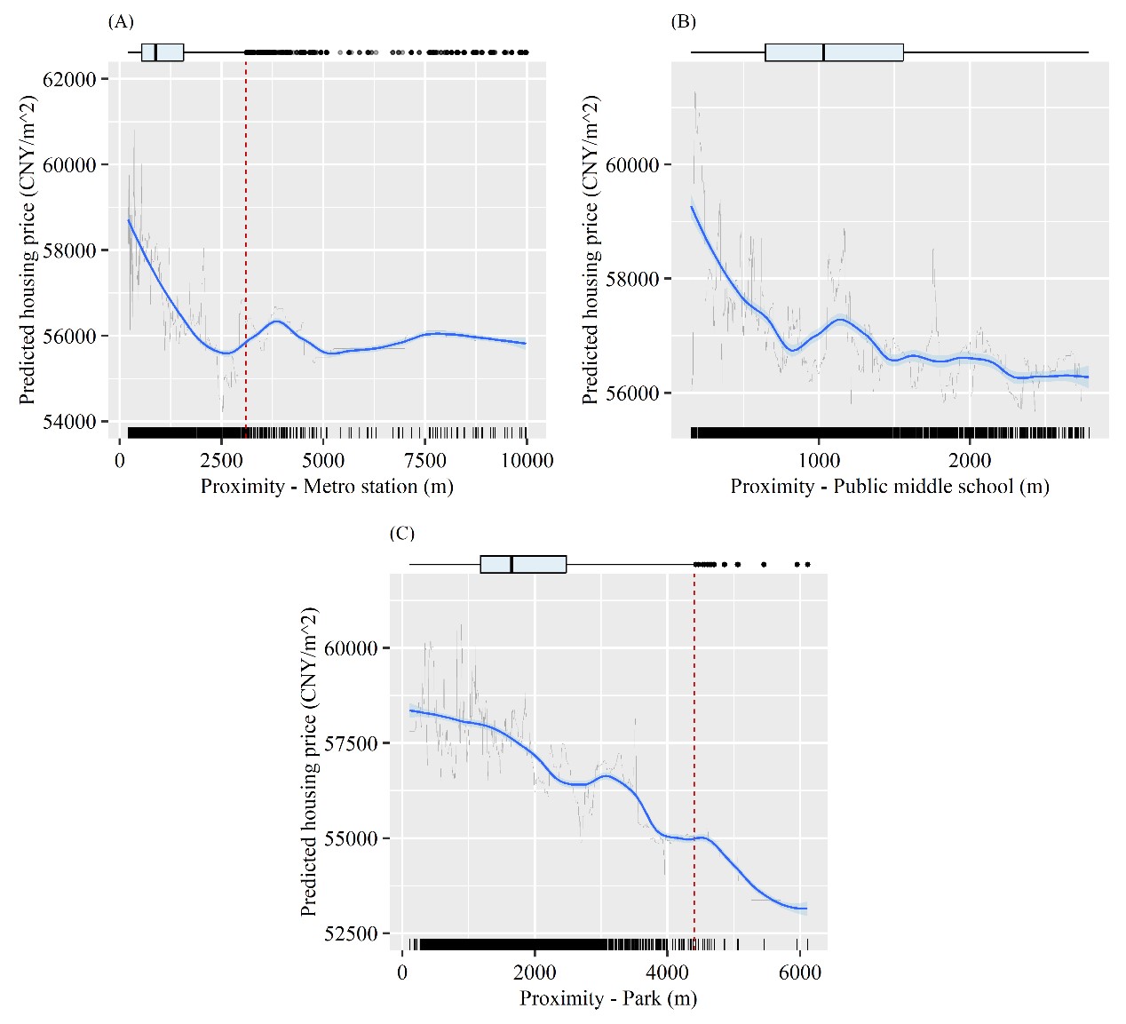
公共设施对房价影响的非线性和阈值效应表明(图4和图5),只有在特定的质量或邻近范围内,即当居民能够真正从公共设施提供的服务中受益时,他们才愿意为公共设施付费。例如,在考虑邻近性时,居民愿意为距离小于1,500米的公立中学和距离小于2,500 米的地铁站付费。这些发现为公共设施服务半径的设置提供了参考。

图4 邻近性与房价的非线性关系
图5 质量与房价的非线性关系
论文进一步对邻近性和质量之间的交互作用进行分析(图6),重点关注质量是否放大了邻近性对房价的影响(图7)。研究发现,地铁站和公立中学的质量确实放大了邻近性对房价的影响,而公园的质量则减弱了邻近性的价格影响。

图6 质量与邻近性对房价的交互影响

图7 质量对邻近性与房价关系的调节作用
4 结论与讨论
研究证实了在深圳的商品房市场,各类基础设施对房价影响具有差异化的非线性特征和阈值范围,公共设施质量已经表现出比邻近性更高的相对重要性,而高质量设施对房价的提升效应在交通和教育设施方面尤为明显。因此,我们呼吁规划界应认识到城市公共设施质量规划的重要性,以人为本、因地因时而异地布局公共设施规模和服务,利用先进的规划理论和技术方法,推进城市空间高质量发展。本研究对规划实践具有三个关键意义:首先,公共设施的供应应考虑就近性和质量的协同性;其次,研究提出的质量指标可以为公共部门监管公共设施的质量提供参考,有助于城市高质量发展目标的实现;第三,考虑到公共设施质量的重要性及其对房价邻近效应的放大作用,公共设施投资应以减少质量不平等为目标,避免住宅分层或绅士化等问题。本研究强调了评估公共设施质量的重要性,呼吁未来研究采用多源数据和多维指标来更全面地评估公共设施质量。
图文:沈月,仝德
编辑:城规记者团