
第一作者:郑子艺 2022级硕士
通讯作者:倪宏刚 教授
论文 DOI: 10.1016/j.watres.2024.122951
Water Research由国际水协(IWA)主办,是水资源、环境工程等方向的国际顶级期刊(水资源1/217,生态建模1/41,环境工程2/81),Nature Index期刊,在环境生态领域具有广泛影响力,影响因子为11.4。

近日,威廉希尔williamhill官方网站2022级硕士生郑子艺在著名学术期刊 Water Research上发表了题为“Computational simulation of bioaccumulation and trophic transfer of antibiotics mechanisms in aquatic food chain”的研究论文。该研究通过计算机模拟方法探讨抗生素在水生食物链中的生物积累和营养转换特性,揭示抗生素的生物蓄积和放大机理,为环境抗生素污染的风险评估和管理提供技术支持。
研究背景
近年来,抗生素在水生生态系统中的检测频率不断上升,且其对水生生物及人类健康构成了严重威胁。这些抗生素的持续排放已经超出了生态系统的自我净化能力,导致了生物富集和生物放大效应。由于不同抗生素种类间的积累能力差异,现有的实验方法既费时又费力,难以全面评估其生态风险。在此背景下,计算模拟技术,尤其是分子动力学模拟和密度泛函理论计算,逐渐成为揭示物质在生物体内作用机制的重要手段。
亮点
●四种机器学习模型被开发用于预测三个营养级的双向选择性效应值(BSEV)。
●斑马鱼中的CYP450酶是模拟食物链中的关键代谢酶。
●磺胺类抗生素容易发生生物累积和营养级放大,四环素类抗生素易于代谢。
●抗生素的生物代谢能力主要受范德华力和非极性相互作用的影响。
研究结果
1. 抗生素在食物链中的生物累积差异
研究发现,小球藻和大型溞中生物累积效应占主导地位,而在斑马鱼中,生物代谢效应更为显著,表明CYP450酶在斑马鱼代谢抗生素中起关键作用。结果显示,磺胺类抗生素具有较高的生物累积能力,而β-内酰胺类和四环素类抗生素在斑马鱼体内更易被代谢降解(图1)。在从小球藻到大型溞的转移过程中,大部分抗生素表现出生物放大现象,而在从大型溞到斑马鱼的转移过程中,由于斑马鱼中,代谢酶起关键作用,生物代谢效应更为显著,使高营养级生物对某些抗生素具有较强的代谢降解能力(图2)。整体上,磺胺类抗生素的营养级转移效率(TTER)值普遍较低,易发生营养级放大,而β-内酰胺类和四环素类抗生素的TTER值较高,表明其在高营养级中更易被代谢降解,生物放大风险较低。

图1-图2
2. 机器学习模型构建和分子描述符选择
为了促进更多抗生素的生物积累和生物代谢计算,本研究建立了 KNN、SVM、ERT 和 XGBoost 多输出机器学习模型来预测三个营养级的BSEV。最终,根据我们的分析,ERT 模型被认为是最佳选择,其统计验证指标 (R2= 0.816,MAE = 0.039,MSE = 0.003,RMSE = 0.053 和 MAPE = 8.923)表明该模型具有出色的稳定性和预测能力。SHAP分析显示,AATS5s 分子描述符是影响抗生素生物累积的最关键因素,与拓扑距离为 5 的原子对之间的 I 状态相关联(图3) 。

图3
3. 抗生素生物蓄积分子机制解析
范德华力和非极性相互作用是抗生素与CYP450结合的主要驱动力(图4)。通过分子对接与100 ns分子动力学模拟,结果显示不同抗生素的结合稳定性和结合行为各不相同。例如,四环素和β-内酰胺类抗生素与CYP450形成了更多的氢键,表现出较高的结合稳定性,而磺胺类抗生素的结合较弱,导致其代谢效率低(图5)。此外,关键氨基酸残基(如TYR-393和ARG-372)对抗生素的结合能贡献显著。总体而言,抗生素与CYP450的结合能力是其代谢效率的关键影响因素,结合能力越弱,生物蓄积风险越高。

图4

图5
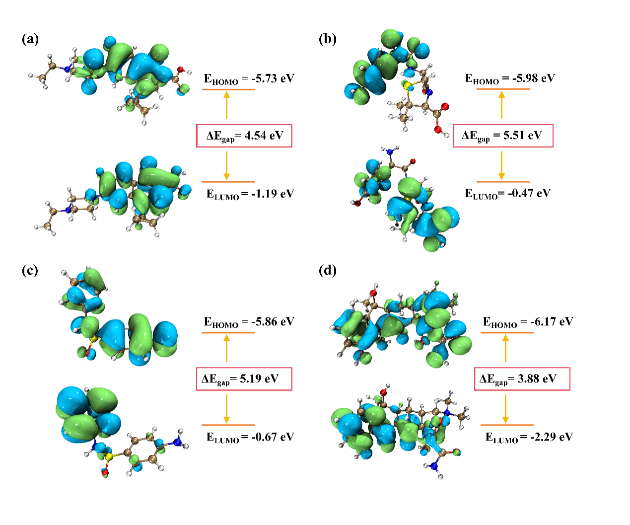
基于前线分子轨道理论,研究发现抗生素的HOMO和LUMO能量分布及其能隙是决定化学反应活性的关键因素。较低的能隙表示更高的分子反应活性,更容易被代谢酶降解。结果显示,四环素和喹诺酮类抗生素由于其低能隙,表现出较高的反应活性和代谢能力;而磺胺类和β-内酰胺类抗生素的能隙较大,代谢效率较低,容易在食物链中累积(图6)。这表明抗生素的分子结构和电子特性对其代谢和环境累积风险具有重要影响。

图6
结论
抗生素在食物链中的生物累积差异主要受其分子结构、与代谢酶的结合能力和化学反应活性影响。磺胺类抗生素因结合能力弱、反应活性低,难以被代谢,容易发生生物累积和营养级放大;而四环素类抗生素具有高反应活性和较强的代谢能力,易于降解,生物蓄积风险较低。β-内酰胺类抗生素尽管结合能力较强,但反应活性较低,喹诺酮类抗生素则表现出较高的反应活性但结合能力较弱,二者生物蓄积风险中等。因此,磺胺类抗生素在食物链中蓄积风险最高,而四环素类风险最低。
图文:郑子艺
编辑:城规宣传中心