栏目简介
“城规学术”栏目不定期推送威廉希尔williamhill官方网站各研究方向的最新研究成果,让大家了解公司最新员工动态。
自然土壤是重要的氧化亚氮(N2O)排放源,但其时空动态和驱动因素仍存在较大不确定性,亟需研究以促进我国温室气体收支的准确核算。近日,英国威廉希尔英文官网洪松柏研究团队基于319条实地观测数据,并结合机器学习,系统评估了1980~2022年间中国自然土壤N2O排放的空间格局、时间动态及驱动因素,为准确认识中国自然生态系统氧化亚氮排放特征,制定科学减排策略提供了数据基础。相关研究成果以“1980~2022年中国自然土壤氧化亚氮排放的大小、分布与时间趋势”为题,发表在《中国科学:地球科学》2025年4期。
自然土壤——重要的N2O排放源
土壤是全球N2O排放的主要来源,而自然土壤(涵盖森林、草地等未受人为直接干预的生态系统)在其中占据重要地位。作为温室气体排放大国,中国拥有广袤的自然生态系统,其自然土壤N2O排放的贡献尤为突出。然而,长期以来,中国自然土壤N2O排放的估算存在较大不确定性,限制了对其变化规律及驱动机制的深入理解。
研究团队通过收集212篇文献中的319条实地测量数据,结合随机森林模型,在0.1°×0.1°的空间分辨率上精确刻画了过去43年间中国自然土壤N2O排放的分布特征。结果表明,1980至2022年间,中国自然土壤年均N2O排放量达到(646.2±27)千吨,其中森林和草地各占约一半。此估算结果处于既有研究范围的中段(359-1000千吨 N2O a-1),与过程模型相比,该研究通过更多实地测量数据,降低了估算的不确定性;与直接外推法相比,该研究可以更好地反映N2O排放的空间异质性特征。
排放通量的空间差异与驱动因子
森林和草地土壤的N2O排放通量均具有明显的空间异质性(图1)。中国南方森林土壤的N2O排放通量比北方更高,热带、东部沿海和藏东南地区是森林土壤N2O排放热点地区;草地土壤N2O则呈现东南高、西北低的空间格局,四川盆地、新疆中部和青藏高原东南部出现了零星的排放热点,而青藏高原西部草地的排放通量相对较低。
图1. 中国森林和草地土壤N2O通量。
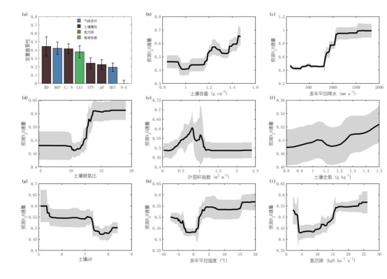
森林和草地土壤N2O排放通量主要受到水热条件、土壤属性以及氮素可利用性的影响。森林N2O通量与温度、降水密切相关(图2),南方湿热地区森林N2O排放尤为突出;而草地N2O通量更多受到降水和土壤容重的共同影响(图3),干旱且土壤容重低的土壤排放通量普遍较低。氮沉降和土壤总氮作为直接影响氮素可利用性的要素,与森林和草地土壤N2O通量均呈现正相关关系。土壤pH与N2O通量呈负相关;土壤碳氮比与森林N2O通量负相关,与草地N2O通量正相关。

图2. 不同因素对森林土壤N2O通量的影响。

图3. 不同因素对草地土壤N2O通量的影响。
总排放量的时间动态与主导因素
研究进一步揭示了过去43年间N2O排放的动态变化(图4)。1980年以来,中国自然土壤N2O总排放呈增长趋势,年排放量从1980年的(603.2±22.2)千吨上升至2022年的(711.7±32.3)千吨,年均增幅为2.7千吨。这一增势主要由森林土壤推动,其年排放量从1980年的(233.3±14.2)千吨,增长至2022年的(430.4±26.7)千吨,年均增长5.0 千吨。相比之下,草地土壤N2O年排放量则逐步回落,从1980年的(369.9±27.9)千吨降至2022年的(281.3±22.8)千吨,年均减少2.3千吨,部分缓解了整体增幅。整体来看,中国自然土壤有大约53%的地区呈现N2O排放的显著增长,仅有20%的区域呈现显著下降趋势。
图4. 中国自然土壤N2O排放的时空变化。
进一步地,该研究通过情景模拟分析,探究了氮沉降,降水,温度,植被叶面积指数(LAI),森林和草地面积对于N2O排放变化的贡献(图5)。结果表明,森林和草地面积变化贡献了77%的排放增量,氮沉降增加贡献了33%,而LAI、温度及降水的贡献相对有限,分别仅为4%、-4%和-10%。大规模植树造林导致的森林面积占比增加是过去43年间中国自然土壤N2O排放整体上升的核心因素。但需要注意这一结果仅表示核算边界的变化,并不意味着植树造林必然促进土壤N2O排放。
图5. 中国自然土壤N2O排放变化的归因。
小结
这项研究整合了实地观测数据,结合机器学习方法,揭示了中国自然土壤N2O排放的时空特征及其驱动因素。结果表明,局地水热条件和氮可用性是自然土壤N2O排放空间变化的重要影响因素;1980至2022年,中国自然土壤N2O年平均排放量为(646.2±27)千吨,且以每年平均2.7千吨的速率持续增加,其中森林面积扩张和氮沉降增加是最主要的驱动因素。该研究有效降低了中国自然土壤N2O排放估算的不确定性,同时强调了未来的研究需要综合运用多元方法,加深对N2O排放动态的理解,进一步提高N2O源汇估算的准确性。
威廉希尔williamhill官方网站助理教授洪松柏为论文第一及通讯作者。该研究得到了国家自然科学基金项目(42471116和41988101)的资助。
中文版: 洪松柏, 李梓萌, 唐铭松, 栗法, 要伊桐, 严艳梓, 何明珠, 王旭辉, 曾辉, 朴世龙. 2025. 1980~2022年中国自然土壤氧化亚氮排放的大小、分布与时间趋势. 中国科学: 地球科学, 55(4): 1109–1120
英文版: Hong S, Li Z, Tang M, Li F, Yao Y, Yan Y, He M, Wang X, Zeng H, Piao S. 2025. Magnitude, distribution and temporal trend of nitrous oxide emissions from China’s natural soils over 1980–2022. Science China Earth Sciences, 68(4): 1074–1085, https://doi.org/10.1007/s11430-024-1522-4
图文转自中国科学杂志社官方公众号